Anwendungen
Storyboard 
Durch die Porosität des Bodens kann Regen- oder Bewässerungswasser in den Boden eindringen und die Napa erreichen. Daher müssen wir untersuchen, wie es basierend auf unserem geometrischen Modell modelliert werden kann, wenn sich das Wasser bewegt.
ID:(367, 0)
Strömungsdichte und hydraulische Leitfähigkeit
Bild 
Die Flussdichte ($j_s$) kann in Bezug auf die Hydraulische Leitfähigkeit ($K_s$) im infinitesimalen Grenzwert mit die Säulenhöhenunterschied ($dh$) und die Distanzdifferenz ($dx$) wie folgt ausgedrückt werden:
| $ j_s = - K_s \displaystyle\frac{ dh }{ dx }$ |
Dies bedeutet, dass je steiler der Gradient oder je steiler das Gelände ist, desto größer wird die Flussdichte ($j_s$) sein, wie im Diagramm dargestellt:
None
Das Diagramm zeigt, wie Balken mit gleichen Werten von ERROR:10142,0 zunehmend kleinere Werte von ERROR:10141,0 haben, was zu einem abnehmenden Wert von ERROR:7220,0 führt. Da das Volumen der Flüssigkeit erhalten bleibt, ist dies nur möglich, wenn ein anderer Fluss diese Reduzierung von ERROR:7220,0 kompensiert. Dies könnte ein Fluss sein, der senkrecht zu dem im Diagramm gezeigten Fluss verläuft, zum Beispiel wenn die kürzeren Balken in einer Richtung senkrecht zum Diagramm breiter sind.
Dieses Problem führt zu Folgendem:
Die Höhe $h$ der Flüssigkeit kann nur als Ergebnis der Lösung einer Differentialgleichung berechnet werden, da sie die Anforderung erfüllen muss, dass das Volumen in dem gesamten Bereich, in dem der Fluss stattfindet, erhalten bleibt.
Darüber hinaus ist es wichtig zu beachten, dass:
Das negative Vorzeichen spiegelt die Tatsache wider, dass der Fluss immer von der höheren zur niedrigeren Höhenzone erfolgt. Wenn die Neigung negativ ist, führt das negative Vorzeichen zu einem positiven Fluss (von links nach rechts), und umgekehrt, wenn die Neigung positiv ist, ist der Fluss negativ (von rechts nach links).
ID:(930, 0)
Strömungsgleichung in einer Dimension
Notiz 
Wenn wir den eindimensionalen Fall betrachten und den Prozess entlang der $x$-Achse beschreiben, können wir beobachten, wie sich die Höhe der Säule $\Delta h$ über ein Zeitintervall $\Delta t$ ändert. In diesem Fall ändert eine Säule mit der Breite $\Delta x$ ihr Volumen pro Einheit Länge im Laufe der Zeit um $\Delta x \Delta h/\Delta t$. Andererseits tritt die Menge an Flüssigkeit, die in der Säule bei $x$ eintritt, als $h(x) j_s(x)$ auf, während sie bei $x+\Delta x$ als $h(x+\Delta x) j_s(x+\Delta x)$ austritt:
None
Daher entspricht die Änderung von die Höhe der Wassersäule am Boden ($h$) im Laufe der Zeit der Änderung des Produkts von die Höhe der Wassersäule am Boden ($h$) und die Flussdichte ($j_s$) an der Position:
| $\displaystyle\frac{\partial h}{\partial t} = - \displaystyle\frac{\partial}{\partial x}( h j_s )$ |
Partielle Ableitungen ähneln gewöhnlichen Ableitungen, mit dem Unterschied, dass sie auf Funktionen angewendet werden, die von mehr als einer Variablen abhängen. In solchen Fällen erinnert uns die partielle Ableitung, die durch das Symbol $\partial$ dargestellt wird, an die gewöhnliche Ableitung, die mit dem Buchstaben $d$ bezeichnet wird, mit dem Unterschied, dass die in den Nenner nicht erwähnten Variablen konstant gehalten werden.
ID:(2290, 0)
In einen Kanal fließen
Zitat 
Im Fall des Flusses in Richtung eines Kanals kann das System eindimensional modelliert werden, wobei die Höhe der Wassersäule am Boden ($h$) eine Funktion von die Position der Wassersäule am Boden ($x$) ist, die die Flussdichte ($j_s$) repräsentiert und die Bedingung erfüllt
| $ h j_s = h_0 j_{s0} $ |
mit der Strömung an einem Referenzpunkt ($j_{s0}$) und die Referenzhöhe der Wassersäule ($h_0$), die das Profil des Wassers im Boden definieren:
None
Der Schlüssel zu dieser Gleichung besteht darin, dass das Produkt aus die Höhe der Wassersäule am Boden ($h$) und die Flussdichte ($j_s$) immer konstant sein muss. In diesem Sinne, wenn die Höhe der Wassersäule am Boden ($h$) steigt, sinkt die Flussdichte ($j_s$) und umgekehrt. Das Vorzeichen bleibt dabei immer gleich; daher wird der Fluss in Richtung des Kanals, d.h., der negative Fluss, nur auftreten, wenn der Grundwasserspiegel höher ist als der des Kanals. Wenn die Flüssigkeit dem Kanal näher kommt, sinkt der Grundwasserspiegel, was zu einer Zunahme der Flussdichte führt.
ID:(15104, 0)
Fließhöhenlösung in Richtung eines Kanals
Übung 
Die Lösung der eindimensionalen Strömungsgleichung in Richtung eines Kanals, bei der die Höhe der Wassersäule am Boden ($h$) als Funktion von die Referenzhöhe der Wassersäule ($h_0$) und die Position der Wassersäule am Boden ($x$) am Rand des Kanals zusammen mit der Charakteristische Länge der Strömung im Boden ($s_0$) berechnet wird, hat folgende Form:
| $ \displaystyle\frac{ h }{ h_0 } = \sqrt{1 + \displaystyle\frac{ 2 x }{ s_0 }} $ |
Diese Lösung wird graphisch in Abhängigkeit von den zusätzlichen Faktoren $h/h_0$ und $x/s_0$ wie folgt dargestellt:
None
Das Profil zeigt, dass die Höhe der Wassersäule fernab des Kanals deutlich hoch ist. Aufgrund der Wasserentnahme durch den Kanal beginnt diese Höhe jedoch abzunehmen, bis sie den Rand des Kanals erreicht. Dynamisch bestimmt die Flussdichte ($j_s$) die Menge des in den Kanal fließenden Wassers, während sich die Referenzhöhe der Wassersäule ($h_0$) allmählich anpasst, bis es einen Gleichgewichtszustand erreicht. Mit anderen Worten, wenn der Wert von die Referenzhöhe der Wassersäule ($h_0$) im Verhältnis zur Gesamtmenge des ankommenden Wassers zu niedrig ist, erhöht er sich, und wenn er zu hoch ist, nimmt er ab. Auf diese Weise nimmt die Referenzhöhe der Wassersäule ($h_0$) den Wert an, der die Menge des eintreffenden Wassers mit der Menge des durch den Kanal fließenden Wassers ausgleicht.
ID:(15109, 0)
Flussdichtelösung in Richtung eines Kanals
Gleichung 
Die erhaltene Lösung für die Höhe und die Parameter der Strömung an einem Referenzpunkt ($j_{s0}$) und die Referenzhöhe der Wassersäule ($h_0$) zeigt, dass die Flussdichte ($j_s$) wie folgt berechnet wird:
| $ \displaystyle\frac{ j_s }{ j_{s0} } = \displaystyle\frac{1}{\sqrt{1 + \displaystyle\frac{ 2 x }{ s_0 }}} $ |
Wir können die Flussdichte ($j_s$) graphisch in Abhängigkeit von den zusätzlichen Faktoren $j_s/j_{s0}$ und $x/s_0$ wie folgt darstellen:
None
Es fällt auf, dass die Flussdichte ($j_s$) weiter zunimmt, je näher wir dem Kanal kommen, da die Höhe der Wassersäule am Boden ($h$) abnimmt. Dieser Anstieg ist erforderlich, um die Fließgeschwindigkeit in die Flussdichte ($j_s$) aufrechtzuerhalten oder alternativ, um sie zu erhöhen.
ID:(15110, 0)
Fluss aus einem Kanal
Script 
Im Fall, dass der Fluss aus dem Kanal aufsteigt, tritt die Situation auf, in der das Niveau von die Höhe der Wassersäule am Boden ($h$) abnehmen muss, wenn wir uns vom Kanal entfernen, um den Druckgradienten aufrechtzuerhalten, der den Fluss erzeugt. Das Problem ist, dass, wenn der Fluss sich schnell im Medium bewegt, die Höhe gegen null tendieren wird und folglich der Fluss gegen Unendlich streben wird, was keinen Sinn ergibt.
Das bedeutet, dass es in solch einer Situation keine stationäre Lösung gibt, und die einzige Lösung besteht darin, dass das Medium sich füllt, bis es die Höhe des Kanals erreicht und somit effektiv konstant wird.
Die Frage ist, ob es eine nicht-triviale stationäre Situation gibt, die eine reale und interessante Situation darstellt. Ein möglicher Fall ist, wenn das Niveau des Mediums so weit abnimmt, dass es niedriger wird als die Säule, bevor die Lösung divergiert. Dieser Fall entspricht der Situation, in der der Fluss an der Oberfläche auftritt und es keine Divergenz in der Lösung gibt. Dies würde bedeuten, dass ein Fluss erzeugt wird, der an einer bestimmten Stelle nach außen strömt, mit dem Risiko, das Fundament zu schwächen und damit das Medium zu destabilisieren, das als Damm fungiert.
ID:(4746, 0)
Situation, die Randbedingungen erfüllt
Variable 
Wenn wir eine Situation betrachten, in der der Fluss aus dem Kanal an die Oberfläche gelangen kann, haben wir eine Situation, in der der Fluss in das Medium eintritt und dann wieder austritt, was die Lösung möglich macht.
Das Auftreten an der Oberfläche bedeutet einfach, dass die Höhe der Flüssigkeitssäule höher wird als die des umgebenden Mediums. Tatsächlich würde dies, ähnlich wie im Fall des Flusses in Richtung eines Kanals, Wasser an der Oberfläche erzeugen, das, wenn es nicht abfließt, tatsächlich einen neuen Kanal bilden würde.
Im Fall des Flusses aus einem Kanal ist es möglich, das System eindimensional zu modellieren, wobei die Höhe der Wassersäule am Boden ($h$) eine Funktion von die Position der Wassersäule am Boden ($x$) ist, die die Flussdichte ($j_s$) darstellt und die folgende Bedingung erfüllt:
| $ h j_s = h_0 j_{s0} $ |
Mit der Strömung an einem Referenzpunkt ($j_{s0}$) und die Referenzhöhe der Wassersäule ($h_0$), die das Wasserprofil im Boden definieren, wie in der folgenden Abbildung gezeigt:
Der Schlüssel zur Gleichung liegt darin, dass das Produkt von die Höhe der Wassersäule am Boden ($h$) und die Flussdichte ($j_s$) zu jeder Zeit konstant bleiben muss. In diesem Sinne, wenn die Höhe der Wassersäule am Boden ($h$) zunimmt, wird die Flussdichte ($j_s$) abnehmen, und umgekehrt. Darüber hinaus bleibt das Vorzeichen gleich. Daher wird der Fluss aus dem Kanal, d.h., der positive Fluss, nur auftreten, wenn die Höhe des Kanals größer ist als die des Punktes, an dem der Fluss entsteht. Wenn die Flüssigkeit sich vom Kanal entfernt, wird die Höhe abnehmen, und die Flussdichte wird zunehmen.
ID:(4370, 0)
Fließhöhenlösung aus einem Kanal
Audio 
Die Lösung der eindimensionalen Strömungsgleichung in einem Kanal, bei der der Wert von die Höhe der Wassersäule am Boden ($h$) in Abhängigkeit von die Referenzhöhe der Wassersäule ($h_0$) und die Position der Wassersäule am Boden ($x$) am Rand des Kanals zusammen mit der Charakteristische Länge der Strömung im Boden ($s_0$) berechnet wird, hat folgende Form:
| $ \displaystyle\frac{ h }{ h_0 } = \sqrt{1 - \displaystyle\frac{ 2 x }{ s_0 }} $ |
Diese Lösung wird graphisch in Bezug auf die zusätzlichen Faktoren $h/h_0$ und $x/x_0$ wie folgt dargestellt:
Das Profil zeigt, dass die Höhe abnimmt, wenn man sich vom Kanal entfernt, um einen Druckgradienten aufrechtzuerhalten. Es tritt jedoch ein Problem auf, wenn der Abstand die Hälfte von der Charakteristische Länge der Strömung im Boden ($s_0$) erreicht, da die Höhe der Säule auf null fällt und es keine Lösung für größere Entfernungen gibt (das Argument der Quadratwurzel wird negativ). Mit anderen Worten, damit die Lösung sinnvoll ist, muss ein Mechanismus vorhanden sein, der die Flüssigkeit entfernt, bevor diese kritische Entfernung erreicht wird.
ID:(4374, 0)
Flussdichtelösung aus einem Kanal
Video 
Die erhaltene Lösung für die Höhe und die Parameter der Strömung an einem Referenzpunkt ($j_{s0}$) und die Referenzhöhe der Wassersäule ($h_0$) zeigt uns, dass die Flussdichte ($j_s$) gleich ist:
| $ \displaystyle\frac{ j_s }{ j_{s0} } = \displaystyle\frac{1}{\sqrt{1 - \displaystyle\frac{ 2 x }{ s_0 }}} $ |
Wir können die Flussdichte ($j_s$) graphisch in Bezug auf die zusätzlichen Faktoren $j_s/j_{s0}$ und $x/x_0$ wie folgt darstellen:
die Flussdichte ($j_s$) steigt weiter an, wenn wir uns dem Kanal nähern, da die Höhe der Wassersäule am Boden ($h$) abnimmt. Dieser Anstieg ist notwendig, um die Fließgeschwindigkeit in die Flussdichte ($j_s$) aufrechtzuerhalten oder alternativ zu erhöhen.
ID:(7827, 0)
Damm I - Mina Córrego do Feijão
Einheit 
Ein Beispiel, das den Effekt des Durchflusses durch die Basis im Fall eines Staudamms veranschaulicht, trat am Damm 1 der Mine 'Córrego do Feijão' in Brumadinho, Minas Gerais, Brasilien auf.
Am 25. Januar 2019 kollabierte Damm 1, der sich im Zentrum des Bildes befindet, wie in den Bildern 1 bis 6 dargestellt. Anfangs begann die Basis sich zu bewegen, während die Oberseite zu versinken begann. Schließlich trat ein Wasserstrom aus der Basis aus, als die gesamte Struktur zusammenbrach. Auf dem unteren zentralen Bild sehen Sie die Situation, nachdem der Damm sich vollständig auf der Seite entleert hatte, die ihn enthielt ([1], [2]):
Das Bild oben links zeigt den Damm vor dem Zusammenbruch, und das Diagramm erklärt, wie das Wasser gegen die Basisfläche drückt (blaue Pfeile) und das Zentrum kollabiert (beiger Pfeil). Die Bilder zeigen die Struktur erneut vor dem Zusammenbruch (Foto oben rechts), als die Basis gezwungen wird, was dazu führt, dass der obere Teil zusammenbricht (Foto unten links), und den resultierenden Wasserfluss an der Basis (Foto unten rechts) [3]:
Die Dynamik wird durch den hohen Druck und den hohen Fluss an der Basis getrieben, was das Auftreten von Wasser durch diesen Weg erklärt.
In diesem Fall gab es mehrere Anzeichen von Gefahr, was zu einer detaillierten Satellitenüberwachung der Bewegung mehrerer Punkte über einen Zeitraum von mehr als einem Jahr führte. Die Punkte sind in der oberen Abbildung markiert, und auf der linken unteren Abbildung sehen Sie eine Detailansicht der Basis. Insbesondere werden die Punkte hervorgehoben, die die größte Gesamtverschiebung erfuhren (Bs und Bp), die auch im Diagramm rechts dargestellt sind. Das Diagramm zeigt auch die Niederschlagsmenge, die in gewissem Maße beiträgt, aber nicht unbedingt ein Schlüsselfaktor ist [4]:
Dieses Beispiel soll zeigen, wie hoher Druck an der Basis in Verbindung mit einem hohen Wasserfluss zur beobachteten Dynamik beiträgt, ohne notwendigerweise zu erklären, wann oder wie sie instabil wurde. Dies wird weiter erforscht.
[1] Google Earth Pro für Brumadinho, Minas Gerais, Brasilien, Januar 2019 und Februar 2019
[2] Kameras der Vale S.A.
[3] Strafrechtliche Untersuchungsverfahren Nr. MPMG-0090.19.000013-4, Polizeiuntersuchung Nr. PCMG-7977979, MINISTÉRIO PÚBLICO DO ESTADO DE MINAS GERAIS
[4] Verformungen vor dem Brumadinho-Dammbruch, aufgedeckt durch Sentinel-1-InSAR-Daten unter Verwendung von SBAS- und PSI-Techniken, Fábio F. Gama, José C. Mura, Waldir R. Paradella und Cleber G. de Oliveira, MDPI, Remote Sens. 2020, 12, 3664.
ID:(4378, 0)
In einen Brunnen fließen
Code 
Im Fall des Grundwasserflusses zu einem Brunnen wird die Höhe der Wassersäule am Boden ($h$) als Funktion von der Radius von der Mitte des Bohrlochs ($r$) mit der Brunnenradius ($r_0$), der Charakteristische Länge der Strömung im Boden ($s_0$) und die Referenzhöhe der Wassersäule ($h_0$) durch
| $ r \displaystyle\frac{ dh^2 }{ dr } = 2 h_0 ^2\displaystyle\frac{ r_0 }{ s_0 } $ |
repräsentiert, was das Wasserprofil im Boden definiert:
ID:(4371, 0)
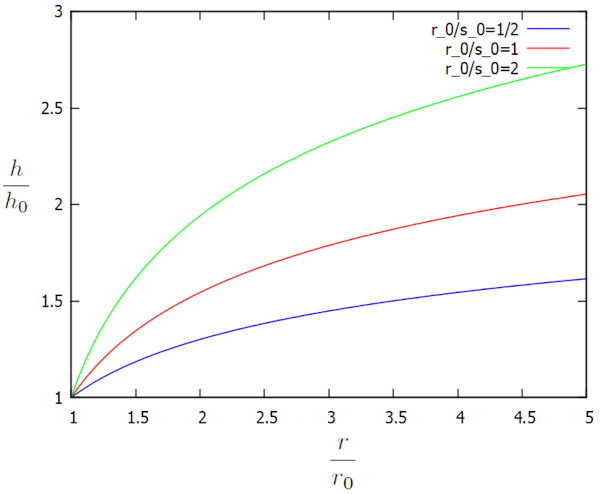
Fließhöhenlösung in Richtung eines Brunnens
Fluss 
Die Lösung der eindimensionalen Fließgleichung zu einem Brunnen, bei der der Wert von die Höhe der Wassersäule am Boden ($h$) als Funktion von der Radius von der Mitte des Bohrlochs ($r$), die Referenzhöhe der Wassersäule ($h_0$) und der Brunnenradius ($r_0$) am Rand des Brunnens zusammen mit der Charakteristische Länge der Strömung im Boden ($s_0$) berechnet wird, hat folgende Form:
| $ \displaystyle\frac{ h }{ h_0 } = \sqrt{1 + \displaystyle\frac{ 2 r_0 }{ s_0 }\ln\left(\displaystyle\frac{ r }{ r_0 }\right)} $ |
Diese Lösung wird graphisch in Bezug auf die zusätzlichen Faktoren $h/h_0$ und $r/r_0$ für verschiedene $r_0/s_0$ wie folgt dargestellt:
Das Profil zeigt, dass die Höhe der Wassersäule weit entfernt vom Brunnen deutlich hoch ist. Aufgrund der Wasserentnahme durch den Brunnen beginnt diese Höhe jedoch abzunehmen, bis sie den Rand des Brunnens erreicht. Dynamisch bestimmt die Flussdichte ($j_s$) die Menge des zum Brunnen fließenden Wassers, während die Referenzhöhe der Wassersäule ($h_0$) sich allmählich anpasst, um einen Gleichgewichtszustand zu erreichen. Mit anderen Worten, wenn der Wert von die Referenzhöhe der Wassersäule ($h_0$) im Verhältnis zur Gesamtmenge des zum Brunnen gelangenden Wassers zu niedrig ist, erhöht er sich, und wenn er zu hoch ist, verringert er sich. Auf diese Weise nimmt die Referenzhöhe der Wassersäule ($h_0$) den Wert an, der die Menge des ankommenden Wassers mit der Menge des durch den Brunnen abgepumpten Wassers ausgleicht.
ID:(10591, 0)
Flussdichtelösung in Richtung eines Brunnens
Matrix 
Die erhaltene Lösung für die Höhe und die Parameter der Strömung an einem Referenzpunkt ($j_{s0}$) und der Radius von der Mitte des Bohrlochs ($r$), der Brunnenradius ($r_0$), der Charakteristische Länge der Strömung im Boden ($s_0$) zeigt uns, dass die Flussdichte ($j_s$) gleich ist:
| $ \displaystyle\frac{ j_s }{ j_{s0} } = \displaystyle\frac{1}{\displaystyle\frac{ r }{ r_0 }\sqrt{1 + \displaystyle\frac{ 2 r_0 }{ s_0 }\ln\left(\displaystyle\frac{r}{r_0}\right)}}$ |
Diese Lösung wird graphisch in Bezug auf die zusätzlichen Faktoren $j_s/j_{s0}$ und $r/r_0$ für verschiedene Werte von $r_0/s_0$ wie folgt dargestellt:
None
die Flussdichte ($j_s$) steigt weiter an, wenn wir uns dem Kanal nähern, während die Höhe der Wassersäule am Boden ($h$) abnimmt. Dieser Anstieg ist notwendig, um die Fließgeschwindigkeit in die Flussdichte ($j_s$) aufrechtzuerhalten oder alternativ, um sie zu erhöhen.
ID:(2209, 0)
