Límites de Estadiísticas de Gases Cuanticos
Beschreibung 
Variablen
Berechnungen
Berechnungen
Gleichungen
Beispiele
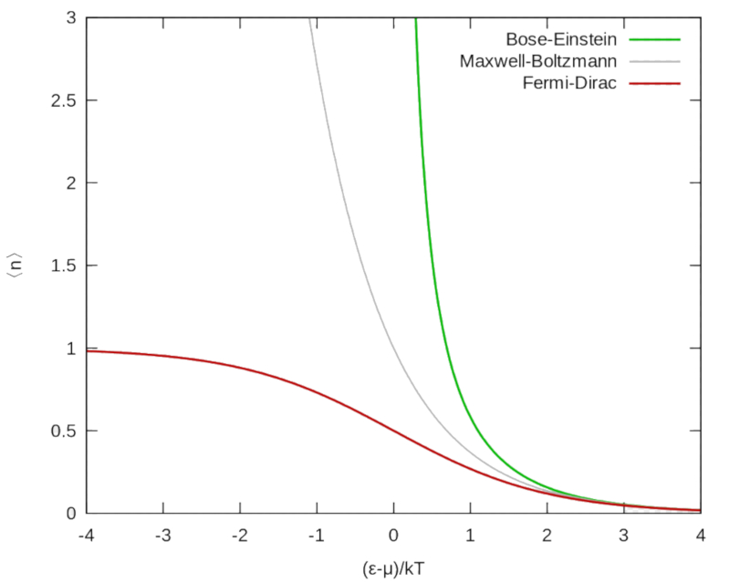
Si se compara la ocupaci n de estados se obtiene que
- la distribuci n de Fermi-Direc (FD) disminuye con la energ a por temperatura
- la distribuci n de Bose Einstein (BE) aumenta con la energ a por temperatura
- la distribuci n de Maxwell-Boltzmann (MB) muestra un comportamiento intermedio
- ambas distribuciones de los gases cuanticos (FD, BE) convergen a alta energ a por temperatura a la distribuci n de Maxwell Boltzmann
(ID 13508)
En el caso del potencial qu mico se observa
- en la distribuci n de Fermi-Direc (FD) que decrece al aumentar la temperatura volvi ndose negativo
- en la distribuci n de Bose Einstein (BE) que presenta el condensado (en que es cero) y de igual forma decrece con el aumento de la temperatura
- en la distribuci n de Maxwell-Boltzmann (MB) muestra un comportamiento intermedio
- ambas distribuciones de los gases cuanticos (FD, BE) convergen a alta energ a por temperatura altas a la distribuci n de Maxwell Boltzmann
(ID 13509)
ID:(514, 0)
