Estructura del modelo del pulmón
Definición 
Modelo general de pulmón. Por un lado se tiene el pulmón en si que esta encapsulado por las costillas. En su interior tenemos los conductos y alvéolos.
Estructura del modelo del pulmón
ID:(7365, 0)
Alevéos
Imagen 
Los alvéolos se pueden describir como una red de capilares que terminan en pequeñas esferas:
Estructura de los alvéolos
ID:(7578, 0)
Mecanismo de transporte
Nota 
La difusión es el mecanismo con que los gases se desplazan del pulmón al torrente sanguino y los glóbulos rojos elemento que transportan los gases.
Rol de glóbulos rojos
La sangre que llega a los pulmones es la artera pulmonar mientras que la que lo abandona es la vena pulmonar.
ID:(7581, 0)
Flujo de Oxigeno y Dioxido de Carbono
Cita 
Las paredes de los capilares en el pulmón son muy delgados (del orden de un micrón) lo que permite la difusión del oxigeno del pulmón a la sangre y del dióxido de carbono a la cavidad pulmonar:
Desplazamiento de oxigeno y dióxido de carbono en el cuerpo
El proceso inverso ocurre en los órganos del cuerpo que requieren de oxigeno y que deben eliminar el dióxido de carbono.
ID:(7580, 0)
Mécanica de Respiración
Ejercicio 
Cuando inhalamos el diafragma baja creando una aumento de volumen y con ello una baja de presión que succiona el aire al pulmón.
Mecanismo de respiración
Al exhalar el diafragma presiona hacia arriba reduciendo el volumen, generando con ello presión que desplaza el gas fuera del pulmón.
ID:(7579, 0)
Adaptación del modelo del pulmón
Ecuación 
Considere el siguiente modelo de pulmón en que se listan los diámetros
z | n(z) | d(z) [cm] | l(z) [cm]
:-|:-----:|:------------:|:----------:
0 | 1 | 1.8 | 12
1 | 2 | 1.22 | 4.76
2 | 4 | 0.83 | 1.9
3 | 8 | 0.56 | 2.76
4 | 16 | 0.45 | 1.27
5 | 32 | 0.35 | 1.07
6 | 64 | 0.28 | 0.9
7 | 128 | 0.23 | 0.76
8 | 256 | 0.186 | 0.64
9 | 512 | 0.154 | 0.54
10 | 1024 | 0.13 | 0.46
11 | 2048 | 0.109 | 0.39
12 | 4096 | 0.095 | 0.33
13 | 8192 | 0.082 | 0.27
14 | 16384 | 0.074 | 0.23
15 | 32768 | 0.066 | 0.2
16 | 65536 | 0.06 | 0.165
17 | 131072 | 0.054 | 0.141
18 | 262144 | 0.05 | 0.117
19 | 524288 | 0.047 | 0.099
20 | 1048576 | 0.045 | 0.083
21 | 2097152 | 0.043 | 0.07
22 | 4194304 | 0.041 | 0.059
23 | 8388608 | 0.041 | 0.05
Los parámetros corresponden a un pulmón tras exhalar y crece normalmente a 4 veces el volumen aquí definido. Si se calcula el volumen de este modelo se llega a que es del orden de 1.6 litros.
Para escalar el modelo a su cuerpo podemos tomar el volumen del tórax
El valor que se obtiene es tipicamente del orden de 0.1. Un error típico de calculo es no considerar las unidades del volumen del torax que es el modelo del cuerpo esta en centímetros cúbicos. Para convertir las unidades se debe recordar que
Para escalar los largos debemos obtener la raíz cubica del factor de volumen lo que nos da el factor de largos
que normalmente del orden de 0.5.
Los largos, tanto el radio como los largos de la tarquia y bronquios de debe multiplicar por los factores de largo para obtener un modelo propio del pulmón.
ID:(10798, 0)
Bases para el calculo de la resistencia hidráulica del pulmón
Script 
La estructura del pulmón se puede representar como múltiples bifurcaciones en cada vez mas pequeños bronquios. El primer canal es la traquea que luego se bifurca en dos bronquios los que a su vez se bifurcan en dos bronquios repitiéndose el proceso del orden de 23 veces.
Cada paralelepípedo recto representa la resistencia hidráulica de un bronquio. Por ello en la generación
| $ R_h =\displaystyle\frac{8 \eta | \Delta L | }{ \pi R ^4}$ |
ID:(10799, 0)
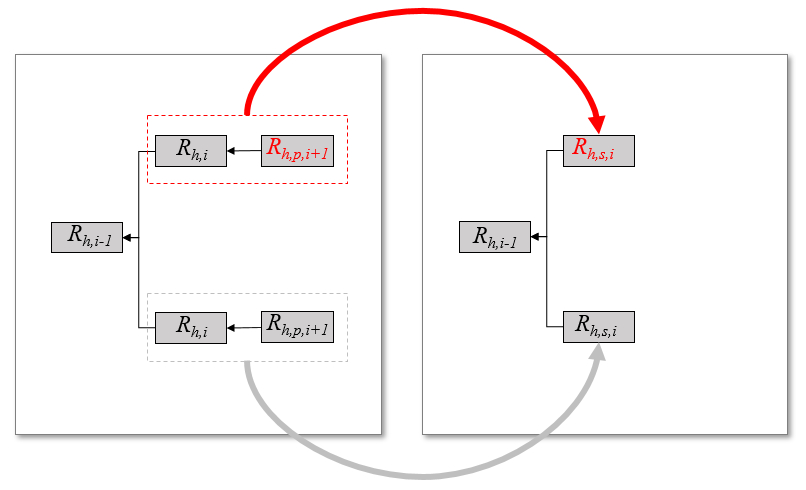
Sumas de resistencias hidráulicas de bronquios en paralelo
Variable 
Para sumar las resistencias hidráulicas de los bronquios, que se estimo en , se deben primero sumar aquellas en paralelos por grupos:
lo que se puede realizar con la ecuación de suma de resistencias hidráulicas en paralelo:
| $\displaystyle\frac{1}{ R_{pt} }=\sum_k\displaystyle\frac{1}{ R_{hk} }$ |
que en el caso de ser resistencias iguales se reduce a
| $ R_{pt} =\displaystyle\frac{1}{ N } R_h $ |
en donde
ID:(10801, 0)
Sumas de resistencias hidráulicas de bronquios en serie
Audio 
Para sumar las resistencias hidráulicas de los bronquios se deben tras sumar aquellas en series por grupos:
lo que se puede realizar con la ecuación de suma de resistencias hidráulicas en serie:
| $ R_{st} =\displaystyle\sum_k R_{hk} $ |
que en el caso de ser resistencias iguales se reduce a
| $ R_{st} = N R_h $ |
en donde
ID:(10800, 0)
Numero de bronquios
Video 
El numero de bronquios va duplicándose a medida que se avanza desde la traquea hasta los alvéolos:
Numero de bronquios por nivel/profundidad en el pulmón
ID:(9651, 0)
Diámetro de bronquios
Unidad 
Los diámetros de bronquios van reduciéndose a medida que se avanza desde la traquea hasta los alvéolos:
Diámetros de bronquios por nivel/profundidad en el pulmón
ID:(9652, 0)
Largos de bronquios
Code 
Los largos de bronquios van reduciéndose a medida que se avanza desde la traquea hasta los alvéolos:
Largos de bronquios por nivel/profundidad en el pulmón
Si se considera la secciones totales de los bronquios como se calculo en se puede localizar la generación que se puede usar para identificar el largo que se puede asumir para el cilindro con que se modela el acceso del gas a los alvéolos.
ID:(9653, 0)
Sección de bronquios
Flujo 
Las secciones de bronquios van aumentando a medida que se avanza desde la traquea hasta los alvéolos:
Largos de bronquios por nivel/profundidad en el pulmón
Es importante hacer notar que en los primeros 20 cm la sección total permanece mas o menos constante. Es decir los bronquios se van bifurcando pero de modo que las secciones solo se dividen no alterándose el valor total.
En este sentido se puede modelar el pulmón como un tubo cilíndrico de un largo que se puede estimar sumando los largos de los bronquios hasta la generación en que la sección total de los bronquios deja de ser mas o menos del mismo orden y crece exponencialmente.
Por ello debe calcular las secciones totales calculando la sección de un bronquio en la
Por otro lado el hecho que las secciones se mantiene aproximadamente constante significa que en primer orden se puede asumir que el radio del cilindro es del orden de aquel de la tarquia.
ID:(9654, 0)
Resistencia hidráulica de bronquios
Matriz 
Las resistencias hidráulicas de bronquios van aumentando a medida que se avanza desde la traquea hasta los alvéolos:
Largos de bronquios por nivel/profundidad en el pulmón
En el modelo de referencia la resistencia hidráulica total es del orden de 1.5e+5 kg/m3s.
ID:(9655, 0)
Simulador del Pulmón
Html 
El simulador del pulmón permite analizar la estructura de este.
ID:(8886, 0)
